Ansys Zemax | OpticStudio 的冷反射分析宏
附件下载
联系工作人员获取附件
概要
本文将演示如何在具有制冷型探测器的红外系统中分析冷反射效应。冷反射图像是由光学系统表面反射形成的制冷型探测器的图像,当(近)对焦时,在图像中将产生一个黑暗的中心斑点。
分析将从使用OpticStudio的鬼像分析生成鬼像文件开始,并收集每个文件的渐晕和传输数据。
冷反射积分系数是根据用户输入的温度数据(外壳、探测器和环境)计算出来的。表面NITD贡献和总NITD结果会显示在图中并且数字NITD数据会被写入一个文本文件。
简介
冷反射效应是致冷型红外系统中一种著名的现象,它是由探测器与壳体的巨大温差引起的。
镜片镀膜的抗反射性能的不完善会导致残留的热辐射从每个镜片表面返回。热壳体的部分辐照度也到达探测器。如果镜头设计不当,就会在图像上产生可分辨的对比度差异。
对于固定的镜头位置和机架温度,这种对比度差可以通过电子非均匀性校正算法来消除。但这些参数的改变会导致冷反射图案的回归。因此,冷反射分析是制冷型红外探测器设计过程中一个非常重要的部分。
定义冷反射引起的温差
附件中的宏“Narcissus.zpl” 可以计算使用制冷型探测的红外镜头的冷反射引入等效温差(NITD)。其计算过程使用了以下公式1,2:
σij = 从表面j落在冷却型探测器表面的反射辐射的立体角与探测器像元i的冷屏蔽立体角的比值。
t0(λ) = 从第一透镜表面到探测器的平均透射率。
ti(λ) = 从探测器到我们关心的表面i的平均透射率。
以上等式机基于下假设:
- 假设探测器的归一化光谱响应在工作波长上是恒定的,所以这个参数在计算中不需要。
- 大气透射率假设为1,这意味着NITD参考的是镜头前面的环境温度。
- 假设应用在透镜表面的所有镀膜的性能在工作波长上是恒定的。即t0(λ), tj(λ) 和Rj(λ)与波长无关。
- 假设壳体和探测器温度恒定,即壳体和探测器不存在温度梯度。
使用宏
理解宏的一系列假设
这个宏是基于特定的系统参数编写的。在运行宏之前,您需要确保您的系统符合以下规范。否则,宏将失效。
- 镜头是沿探测器到环境的方向设计的。
- 表面1是光阑。
- 不包含任何坐标间断面或虚拟面。
- 为旋转对称系统。
- 只包含一种结构。
- 每个透镜表面都分配了镀膜。
- 使用OpticStudio的鬼像分析,从表面2到最后一个表面生成单次反射鬼像文件,并保存到设计文件夹中。这个工具可以在分析…杂散光……鬼像分析处找到。
宏“Narcissus.zpl”需要探测器温度,外壳温度,环境温度,以及用鬼像分析生成的单次反射鬼像文件。鬼像文件需要保存在当前设计文件夹下。用户还应该通过在分析窗口的设置对话框中单击保存来保存渐晕图中的设置。
在进行计算之前,宏辉检查表面1是否为光阑以及是否存在虚拟表面。如果表面1不是光阑或着存在虚拟表面,则宏退出。
为了确定NITD数组的尺寸,宏会计算设计文件夹中的鬼像文件的数量。然后检查涂层。如果有任意一个表面没有指定涂层,将显示警告。如果所有条件都满足,则要求用户输入温度数据。
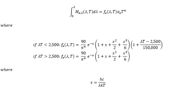
用户输入后,宏在设计文件文件夹中查找生成的鬼像文件,并逐个加载它们,以便获得必要的鬼像数据(σij)和传输数据(t0, tj),用于NITD计算。冷反射公式中的其余项-如外壳和探测器黑体辐射度的积分,工作波长上的差值,以及环境黑体辐射度在工作波长上的温度导数的积分-用以下近似方法计算3:
最后,计算并绘制各表面的NITD贡献和总NITD。
使用示例文件运行宏
为了进行示例运行,设计了一个带有4条光线的简单MWIR物镜。它作为ZAR文件附在本文的附件中。
用于计算的输入参数如下:
打开示例文件。渐晕图应该已经打开。更新设置并单击Save。
接下来,运行鬼像分析工具。对于本例,正确的设置如下:
一旦保存了鬼像文件,我们就可以运行宏。要运行它,需要将附件中的"Narcissus.zpl"放置在"{Zemax}\Macros"文件夹下。然后就可以在OpticStudio中使用它。
当宏开始时,您会被要求输入以下温度信息:
然后宏将使用输入执行计算,并生成6个图形和一个文本文件。
分析结果
各表面NITD贡献 VS 视场(离轴参考)
在没有直流偏置的情况下,表面NITD的贡献被绘制在焦平面阵列(FPA)对角线大小的图中,并在图的右侧标记。
各表面NITD贡献 VS 视场(轴上参考)
表面NITD的贡献被绘制在焦平面阵列(FPA)对角线大小的图中,并在图的右侧标记。该图突出了FPA对角线上每个表面的NITD分布。在有许多表面的设计中,由于颜色彼此接近,很难确定这个图中哪个表面对应于哪个曲线。因此,为了确定对NITD贡献最大的表面数,最好使用下面给出的各表面NITD贡献图vs视场 (Plot2D伪彩色)图。
各表面NITD贡献图 VS 视场 (Plot2D表面)
含直流偏置的各表面NITD贡献绘制在FPA对角线大小的图上并应用Plot2D表面选项。这张图突出显示了FPA对角线上每个表面的NITD分布。表面数随着向页面方向移动而增加。
各表面NITD贡献图 VS 视场 (Plot2D伪彩色)
含直流偏置的各表面NITD贡献绘制在FPA对角线大小的图上并应用Plot2D伪彩色选项。水平方向为FPA对角线,垂直方向为面数。表面数向上增加。比例尺的数值不是计算值,而是默认值。
总NITD VS 视场
图中给出了FPA对角线上的总NITD分布。
FPA上的总NITD
图中给出了FPA上NITD的分布。这是用镜头拍摄的图像中NITD的视觉表现。
“NarcAnalysis Results.txt”文件
作为最终的输出,结果被写入设计文件夹中的文本文件“NarcAnalysis results .txt”中。该文本文件包含设计文件路径,工作波长,温度数据(外壳,探测器,环境),冷反射面数,透射率,每个表面的NITD贡献,总NITD,冷反射晕影数据,鬼像文件的透射数据,yni数据,和i/ibar数据。
参考资料
(1) James W. HOWARD, Irving R. ABEL, “Narcissus: reflections on retroreflections in thermal imaging systems,” APPLIED OPTICS /Vol.21. No.18 / (15 September 1982)
(2) M. Nadeem AKRAM, “Simulation and control of narcissus phenomenon using nonsequential ray tracing. I. Staring camera in 3–5 μm waveband,“ APPLIED OPTICS / Vol. 49, No. 6 / (20 February 2010)
(3) E. L. DERENIAK, G.D. BOREMAN, Infrared Detectors and Systems (John Wiley & Sons, Inc.)
