Ansys Zemax | 在OpticStudio中通过几何光线追迹来模拟杨氏双缝干涉实验
附件下载
联系工作人员获取附件
概述
这篇文章旨在介绍杨氏双缝干涉实验背后的理论知识,并在OpticStudio中用几何光线追迹模拟该实验,最后比较理论和模拟的结果。
简介
杨氏双缝干涉实验是物理学中最著名的实验之一。这个实验通过展示光从点光源到干涉图样的变化,揭示了光的波动特性。杨氏实验的结果可以定性地解释为条纹图,也可以定量地解释为相干因子(作为为光源宽度的函数)。两种理论都会在本文中详细分析。
本文将讨论双缝实验背后的理论,并在OpticStudio的非序列模式下对该实验进行精确建模。
杨氏双缝干涉实验
杨氏双缝干涉衍射实验是描述空间相干性在干涉条纹形成中所起到的作用的经典装置。总体布局如下图所示:
在观察面上形成的条纹图案取决于照亮缝隙面的光的空间相干性、双缝之间分隔的距离以及从缝隙面到观察面上的传播距离。虽然将严谨的统计数学应用到这个问题上看似艰巨,但一旦认识到观察到的干涉图样只是来自不同点光源的基础条纹的总和 [Ref. 1, Section 5.2.1] ,扩展光源形成的条纹图样实际上是相当明确的。这里我们考虑光源非相干的情况,即光源上的任意两点以一种不相干的方式随机辐射,比如热白炽灯就是非相干光源。
在OpticStudio的非序列模式中,使用几何光线追迹和表面散射及散射光线的 “重点采样(Importance Sampling) ”,就可以很好地模拟这种装置。在观测面上的基础条纹图案是由扩展光源上的每个点形成的,而在OpticStudio中,这种条纹图案是通过使用矩形探测器对光线进行相干探测来发现的。对基础条纹图案的集合(从整个光源的采样点得到)按强度进行求和,得到合成的条纹图。合成条纹图案的对比度,来自对位于缝隙处光的部分相干性的测量。在解释模拟细节之前,我们首先简要回顾杨氏实验的基本光学物理理论。理论分析的结果将用于与光束追迹的结果进行比较。
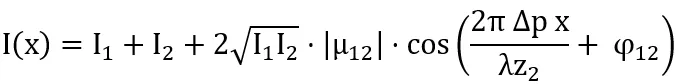
为简单起见,我们假设孔隙沿着x轴,对称于原点且处于相隔距离Δp的位置上。观测平面内形成的时间平均强度为:
其中I1和I2是在孔隙处的光强度,µ12是在孔隙处评估的所谓 “复杂相干因子”,φ12 = arg{µ12} [Ref. 1, Eq. 5.2-36]。条纹对比度可见性为:
条纹对比度可见性是由孔隙处光强度和相干系数的模决定的。|µ12| 的值在 0 和 1 之间,它仅仅是两个孔隙的光场在时间平均基础上的关联程度。对于I1 = I2 的情况,我们可以看到 V = |µ12| 。
照射孔隙的光的相干因子 µ12 是由光源大小、光源的空间相干函数和光源到孔隙平面的传播距离组成的函数。除了假设光源是完全非相干的(有 δ 函数的空间相干性),我们也将光源限制为准单色,也就是说光有足够的窄的带宽,使得跨光线的波前波阵面遇到的任何相对路径长度差异均,比时间相干长度c/Δν更短,这样便只用考虑空间相干效应。当光束远离光源传播时,它获得了空间相干性,这意味着相干函数的宽度开始变宽 [Ref. 2]。通过引用范西泰特-塞尼克定理 (van Cittert-Zernike theorem) ,我们知道孔隙平面上的相干函数是由光源强度分布图的缩放傅里叶变换给出的,其中缩放因子取决于波长和传播距离z1 。
光源常被假定为均匀强度的圆形光源,这时孔隙平面上的相干函数采用Sjinc函数的形式。为简单起见,我们假设沿 Xx 轴有一个均匀的一维线光源,以原点为中心,宽度为 w 的一半。在这种情况下孔隙平面上的相干函数为:
对于孔隙分隔 Δx = Δp 时,相干因子为:
对于小的孔隙分隔距离来说,从两个孔隙发出的光场会高度相关 (µ12 ~ 1),在观察面有望观察到具有高对比度的条纹图案。相反,随着孔隙分隔距离的增加,光场变得不那么相关,条纹能见度降低。相干系数以类似的方式关联于光源宽度2w。比如对于λ = 1.0 µm,z1 = 10 mm,和孔隙分隔Δp = 100 µm来说的相干因子是如下图的关于光源宽度的函数:
OpticStudio模拟的细节将在下面的章节中进行概述,并将结果与上图中的曲线进行比较。
用点光源模拟杨氏双缝实验
第一步是为单点光源创建一个基本的条纹图案。关键是要非常有效地利用光线,不追迹那些不会对干涉过程产生影响的光线,从而形成高保真的条纹图案。这是通过一个简单的非序列设置完成的,如下图所示。两个孔隙由半径为5 µm分隔100 µm的圆盘所表示(圆盘中心沿x轴位移+/- 50 µm)。从光源源平面到孔隙平面的距离和从孔隙平面到观测平面的距离都是10 mm。波长取1 µm。
对应的非序列元件编辑器如下图所示:
光源是单个沿Y轴偏振的光线,但这条光线通过设置分析光线的数量为100万被重复追迹。在传播了一段短距离(在这里取10 um)后,光源光线遇到了一个标准面。这个表面的目的是将入射的轴上光线转换成两束散射光线,射向两个孔隙。首先设置如下图所示的散射参数,散射模型的选择并不是特别重要,因为只要散射光线的分布足够大,就足以填满孔隙所覆盖的立体角。
接下来,这两束散射光通过如下图所示的重点采样 (Importance Sampling) 对准这两个孔隙。尺寸 (Size)参数被设置为比孔隙的半径略小,这个参数决定了重要采样所使用的目标球体的半径,以确保所有的光线都能穿过孔隙。
当光线射线到达孔隙,再次使用散射(Scattering)和重点采样(Importance Sampling)(见下文)。这一次,每一束射入孔隙的光线被转换成五束散射光线,而重点采样将这些光线定向到观测平面上一个半径为400 µm的圆形区域。
虽然重点采样在追迹特定光线时是有效的,但这些光线被加权,仿佛它们是更宽的立体角光线的一个子集。对于高斯散射,整体立体角是由Sigma参数决定的;而对于朗伯散射,立体角是2π,所以单根光线的强度会变得很低。为了确保光线允许被追迹,相对光强阈值应该被降低,实际上可以在系统选项的非序列部分中设置为最小值:
我们现在可以使用以下设置追迹系统光线,请注意打开光线分裂和散射特性等设置:
由此产生的条纹图案是由观察相干强度分布发现,如下所示:
请注意,总命中次数非常接近1000万,这与100万束初始光线在第一次散射表面数量翻倍,然后通过孔隙散射增加了5倍的过程一致。这个数量的光线可以产生高对比度的基础条纹图案。
用非相干线光源模拟实验
为了模拟非相干线光源,我们对点光源沿 X 轴进行离散扫描,并按顺序计算相应的基础条纹图。基础条纹基本上都是相同的,除了其取决于点光源位置的相位偏移之外。将这些基础条纹在强度上相加,得到整个光源的合成条纹图案。在这里,我们使用了5 µm的采样周期。使用 DDE 连接将编写好的Matlab脚本连接至到OpticStudio可在循环中生成基础条纹。在每个循环迭代中,系统会设置点光源位置,进行光线追迹,并使用SaveDetector命令将矩形探测器的相干数据写入文件。然后读取文件,提取复振幅图像,并根据振幅的平方计算图像强度。基础条纹的累积和被保留了下来,因此在循环的最后,可以得到最终的条纹强度图。
用不同宽度的扩展光源进行条纹模拟
下面显示了,从 10 µm 到 350 µm 宽度的光源模拟的合成条纹图。对比度从检测器的中心区域计算,每个光源宽度的值在相应图像的标题中报告。值得注意的是,当光源从 50 µm 增加到 150 µm,然后再从150 µm 增加到250 µm 时条纹会有相位反转。
模拟结果和理论的对比
现在,我们可以将模拟条纹对比度(采用适当的符号选择来表示相干因子)覆盖在本文开头的理论曲线上。理论和模拟结果是一致的。
我们的结论是,光线追迹追踪已经被可用来模拟从两个小孔隙发出的光的干涉现象,。并且从每个孔隙发射的光线的角分布由散射模型确定。在现实中,光会发生衍射,所以在观测平面上最终被探测到的是两束衍射光束的重叠 [Ref. 1, Section 5.2.5]。然而,这种细节在这里被忽略了。
