Ansys Zemax|基于Alvarez自由曲面透镜的光学变焦系统
附件下载
联系工作人员获取附件
概述
Alvarez变焦是一个出色的光学系统,其中由自由曲面镜头的横向位移提供了光学变焦。这篇文章解释了Alvarez变焦镜头的主要原理,并提供了在Zemax OpticStudio中对Alvarez变焦镜头的计算和建模演示。
什么是Alvarez变焦镜头
人们可能知道传统变焦镜头的工作原理。在一个光学系统中有几组透镜元件,它们在主光轴上沿预定义的轨迹移动,从而提供了光学系统最终焦距(变焦系数)的变化。
在 Alvarez变焦镜头的情况下,我们有一对所谓的Alvarez镜头,这些镜头元件相互之间的横向位移引起了光学系统焦距的变化。
传统变焦镜头与Alvarez变焦镜头的主要区别在于:传统系统镜头沿光轴运动,而Alvarez系统镜头则沿垂直于光轴的方向运动。由此,Alvarez变焦镜头在智能手机等超薄领域中应用非常重要。
图1 常规光学变焦镜头(左)和Alvarez变焦镜头(右)
图 2 Alvarez变焦镜头的一般表示及其与传统光学变焦镜头的比较
Alvarez镜组的工作原理
首先了解 Alvarez缩放的工作原理:对于Alvarez镜组,每个Alvarez镜片都是一个自由曲面光学元件,且只有一个对称平面。
图 3 Alvarez 镜组
如下图所示,每个Alvarez镜组都代表了一个具有光焦度变化的光学元件。每对中Alvarez镜片的横向位移会改变Alvarez镜组的光焦度。
图 4 Alvarez镜组的一般工作原理
Alvarez变焦镜头的近轴模型
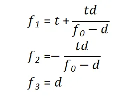
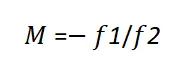
Alvarez变焦镜头的核心是一个无焦伽利略系统。第一对Alvarez代表伽利略系统的物镜,而第二对Alvarez代表目镜。
伽利略系统的放大倍数为:
其中f1是物镜的焦距,f2是目镜的焦距。在Alvarez变焦镜头中,物镜和目镜由Alvarez镜组表示,这意味着我们可以改变f1和f2焦距,因此我们可以通过不断改变系统的放大倍率M从而进行变焦。
伽利略系统是一种无焦系统,因此为了将图像聚焦在传感器平面上,我们引入了一个基础透镜——一种具有固定焦距的光学元件。
图 5 Alvarez变焦镜头的近轴布局图
组件的焦距可以从以下公式计算:
我们可以定义一些数字作为示例,并计算第一个近轴模型。
- FOV(视场):根据客户的要求,例如70度广角。
- HFOV(半视场):FOV的一半。
- 传感器尺寸:所选传感器的尺寸。例如1/3.06’’的传感器(对角线的像高=2.933mm)。
- 变焦比:变焦镜头的最长焦距(ft)与最广角距(fw)之比。假设我们想要一个3倍变焦镜头。
- t = 20 mm
- d = 5 mm
广角有效焦距:
长焦有效焦距:
在长焦处半视场角为:
则长焦处视场角为:
广角和长焦位置处组件的焦距:
现在我们拥有了近轴模型的所有必要参数。
在Zemax OpticStudio中对Alvarez变焦镜头进行建模
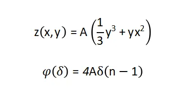
我们将第一和第二近轴面转换为真正的Alvarez透镜。对于镜组接触面使用扩展多项式以及以下方程,我们可以计算Alvarez镜组的下降位移:
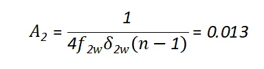
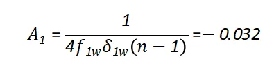
定义每个Alvarez镜头的广角位置横向位移移为1 mm,例如δ1w = 1 mm and δ2w = 1 mm。材料选择Zemax OpticStudio提供的APEL玻璃库中的光学塑料APL5014CL,折射率n = 1.5445。
有了这些数据,我们就可以计算出扩展多项式的系数A:
对于第一对Alvarez镜组:
第二对Alvarez镜组:
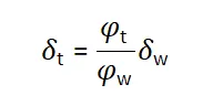
每对Alvarez镜组在长焦位置的横向位移可以计算为:
假设φ是焦距倒数,我们将得到以下值:
现在得到了在Zemax OpticStudio中对Alvarez变焦镜头进行建模的所有数据。
图 6 在OpticStudio中对Alvarez变焦镜头进行建模:镜头数据编辑器(左侧)
为了模拟Alvarez透镜的横向偏移,我们使用坐标间断。每隔一个坐标断点将坐标系返回到原始坐标系。
为了简化计算,固定焦距的基础透镜目前仍然表示为近轴面。
所有扩展多项式表面都有9项,归一化半径等于1。对于第一对Alvarez镜组,我们将 X2Y1 项设置为先前计算的A1,并将X0Y3项设置为A1/3。相应地,对于第二对Alvarez镜组,X2Y1 项等于A2,X0Y3 项设置为A2/3。
图 7 在OpticStudio中对Alvarez变焦镜头进行建模:镜头数据编辑器(右侧)
现在在多重结构编辑器中设置相应的Alvarez镜头横向位移。
图 8 在OpticStudio中对Alvarez变焦镜头进行建模:多重结构编辑器
在下图中,可以看到广角和长焦位置的配置。
图 9 在OpticStudio中对Alvarez变焦镜头进行建模:三维布局图
我们可能注意到,在镜头数据编辑器中,第一对和第二对Alvarez镜组之间的距离并不像我们在计算中分配的那样正好是20mm。因为我们薄透镜进行了计算,Alvarez透镜中有一些非零厚度,因此我们只需在镜头数据编辑器中将它们之间的距离设置为“变量”,插入简单的默认评价函数,然后仅使用这一个变量运行优化。优化结束后20mm变成了18.2644mm。
由于我们使用的是去中心扩展多项式表面,因此在 Zemax OpticStudio中计算的近轴值 EFFL不正确。为了计算系统的焦距,我们可以使用足够靠近光轴的真实光线(见下图)。
图 10 Alvarez变焦镜头的焦距计算方法
靠近光轴的真实光线对系统的长度存在影响。我们可通过在评价函数编辑器中完成这个操作,得到了广角配置的2.135 mm焦距和长焦配置的6.306 mm焦距。可以看到,这些值非常接近目标值,这意味着光学系统工作正常。
图 11 在OpticStudio中对Alvarez变焦镜头进行建模:评价函数编辑器
由于它是一个近轴模型,因此它对于小角度是准确的,为了校正整个视场的像差,我们应该在扩展的多项式曲面上添加更多项并优化光学系统。
在所描述的Zemax 模型中,我们将入瞳直径设置为2 mm。实际上,选择此值仅用于说明目的,因为有了此值,Alvarez镜组的形状在图上看起来更清晰。但是存在非常差的条件:我们很容易计算出,2 mm的入瞳直径时广角配置的F/#≈1,我们难以校正如此大孔径的像差。建议先使用较小的光圈进行优化,然后逐渐增大口径值。当然,在优化结束时,最终应获得满足客户 F/# 需要的值。
另外,该模型中的光阑放置在光学系统的前面。但在某些时刻,将孔径光阑放置在光学系统内部是合理的。在这种情况下,需要打开光线瞄准。
真实原型
尽管 Alvarez 镜头是在1967年发明的,但这一工程理念明显领先于当时的制造能力。如果没有现代制造技术,制造这种复杂的自由曲面光学元件几乎是不可能的。在下面的左图中,可以看到使用塑料成型技术制造的Alvarez镜头。在右图中,可以看到DynaOptics的Alvarez 变焦镜头原型。
