Ansys Zemax | 如何以数据的方式定义网格矢高表面
附件下载
联系工作人员获取附件
概要
本文示范了如何输入表面起伏数据,以定义Zemax OpticStudio中的网格矢高 (Grid Sag) 类型表面,表面起伏数据应为Z坐标轴上的矢高 (Sag)。
正文
表面起伏数据格式是这样定义的:
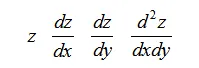
第一行,由7个数字表示。
- 第1, 2个数字,代表x与y方向的数据数量,数据类型为整数。
- 第3, 4个数字,代表x与y方向的数据间隔,数据类型为浮点数。
- 第5个数字,代表数据的单位,0表示单位是mm。
- 第6, 7个数字,代表整体数据点的偏心量,数据类型为浮点数。
第二行及以后之后的数据格式如下:
注:数据最少需要5x5个点。
在网格矢高 (Grid Sag) 面的设定中,若指定使用双三次样条 (Bicubic-spline) 进行内插,为了使数据点之间sag的内插结果平滑,要求必须要输入微分值。
但是,若设定所有的微分值为0,或是该数据留白不输入,OpticStudio会默认使用有限差分法 (Finite Difference Method) 来计算微分值。
数据的纪录顺序定义如下:
- 从的面的左上角,也就是Xmin、Ymax开始。
- 下一个输入的数据是该点的右边一个值 (就是X方向加一个间隔)。
- 第一行结束后,从第二行左边开头继续。
- 填满时,最后一个数字应为Xmax、Ymin
矢高 (Sag) 数据的基准面可以是平面,也可以是球面、圆锥曲面或是非球面。
关于数据文件的后缀名,若是在用在序列模式中,应为 “.DAT”,若是用在非序列模式,则应为 “.GRD”。
在序列模式下定义这个面时,表面类型为网格矢高 (Grid Sag)。曲率半径、圆锥系数以及非球面系数等参数,可以用来定义输入数据的基准面。
插值 (Interpolate) 一栏中的参数,代表矢高 (sag) 数据的内插方式,0表示双三次样条(Bicubic-spline),1表示线性内插(Linear interpolation)。
输入的方式:
- 将后缀为.DAT 文件置于 “\Documents\Zemax\Objects\Grid Files” 文件夹中。
- 请开启镜头数据编辑器,选择网格矢高 (Grid Sag)面,并打开面属性 (Surface Properties) 对话框 。
- 然后选取您的后缀为 .DAT的文件,点选导入 (Import),点击 OK 输入。
数据输入后,如果想要查看输入结果的话,请选择“分析 (Analyze) > 报告 (Report) > 表面数据报告 (Surface Data) ”。
结果如上图。
