Ansys Lumerical|菲涅尔透镜设计
附件下载
联系工作人员获取附件
简介
在这个例子中,我们研究一个球面菲涅尔透镜。透镜的曲率半径为100cm,直径为4.8cm。由于该结构的尺寸较大,我们必须使用该结构的二维近似。透镜的焦点可以用FDTD远场投影函数来研究。

镜头设计和设置
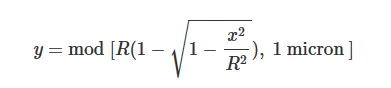
我们将考虑基于简单球面设计的菲涅尔透镜。我们假设透镜的曲率半径为 100cm,透镜直径为 4.8cm。镜片由折射率为 1.5 的材料制成,在空气中。理想情况下,镜头的形状应由下式定义:

在我们简单的菲涅耳设计中,我们假设当 y 变化超过 λ 时,我们可以在透镜表面产生不连续性0/(n2-n1)。由于我们在 500nm 的波长下工作,n2=1.5 和 n1=1,因此当 y 变化超过 1 微米时,我们可以在 y 中产生不连续性。
这可以通过多种方式实现。一种方法是创建一个表面对象,并通过以下公式定义镜头:

我们可以选择以微米为单位的表面物体方程的单位。因此,在自定义“方程式”字段中使用的正确公式是:

此对象很难在布局编辑器中可视化,因为它高 1μm,宽 5 cm。但是,我们将使用索引监视器验证它是否正确。
结果
该结构在 fsp 文件 fresnel1.fsp 中定义。运行该文件后,可以运行脚本文件 fresnel1.lsf,并将产生以下结果。
显示菲涅尔透镜形状的索引监视器图像如下所示。请注意,为了更好地查看,我们调整了图窗窗口的大小并将其放大了。

电场强度。注意由于镜头不连续性而导致的锐利线条。

电场的相位,以度为单位。当我们观察镜头不连续的区域附近时,我们会看到相位中的附加特征,如下所示。


然后,该脚本执行从近到远的场投影以计算焦距。我们在空气中进行这种投影,这将考虑在镜头背面的平板玻璃-空气界面上发生的反射和折射。我们预测焦距应约为 R/(n2-n1) = 200 mm。
投影在 x 和 y 值范围内执行低分辨率计算,以创建下图。请注意,由于近场数据量如此之大,计算需要几分钟。我们看到焦平面确实在预测的-200mm左右。我们通过绘制 E 场强度 (|E|²) 沿 x = 0 线。这显示了以下结果,峰值强度为 -200mm。


然后,我们在y = -200mm处进行高分辨率投影,以绘制焦平面上的场。我们看到一个高度聚焦的光斑,我们可以放大到中心,看到光斑尺寸约为 20 μm。


上面给出的结果是针对TM极化的。可以通过用TE极化重复模拟来研究偏振依赖性。
虽然这个 2D 示例不会完全再现 3D 菲涅尔透镜的预期结果,但它可以帮助识别真实透镜中不同特征的来源,并建议 3D 透镜可能的设计改进。