Ansys Zemax | 在OpticStudio中仿真单模光纤耦合
附件下载
联系工作人员获取附件
简介
准确分析耦合效率在光纤耦合系统的设计中至关重要。本文演示了如何在OpticStudio中使用多种光纤耦合效率分析。
概要
OpticStudio序列模式可以很好地模拟单模光纤耦合效率。本文演示了如何设置耦合系统,并研究了序列模式下可用于光束和光纤耦合分析的多种工具,包括近轴高斯光束传播、单模光纤耦合和物理光学传播。还讨论了部分反射和材料吸收造成的损耗。
设置初始结构
本文介绍了一种商用光纤耦合器,它使用 SUSS MicroOptics FC-Q-250 微透镜阵列耦合两根康宁 SMF-28e 光纤。
制造商数据如下:
文章附件中的“单模耦合器.zmx”文件显示了如何实现此系统。请注意以下事项:
- 物体/镜头和镜头/图像距离已手动设置为 0.1 mm,因为这大约是正确的值。此数字稍后将由优化程序计算
- 拾取求解用于使最终的镜头图像厚度与初始物镜图像相同。由于透镜和光纤是相同的(在制造公差范围内),光学系统应该以任何一种方式工作,因此应该是对称的
- 两个透镜的间隔设置为 2 mm,因为这是使用的实验距离。同样,这个距离将在后面通过严格的优化来计算
- 系统光圈是使用第一个镜头背面的“按光圈大小浮动”设置的。这意味着系统光圈是由镜头的物理光圈设置的。我们通过该系统传播的光纤模式可以被这个物理孔径削波。在这种情况下,光纤模式明显小于物理孔径
- 警惕术语“数值孔径”的多种定义。它可以使用边缘光线角的正弦,即强度下降到 1/e 的角度的正弦2(正如我们将看到的,这两个定义在OpticStudio中的不同计算中使用)或强度下降到峰值1%的角度的正弦,如康宁所使用的那样。定义很重要!
- 高斯切趾已应用于孔径定义,以突出显示光的高斯分布。目前这只是近似值。我们稍后将使用的计算将是精确的
透镜在其大部分孔径上都受到衍射限制,并且在光纤模式照射的区域内受到衍射限制。
使用近轴高斯光束计算
近轴高斯波束数据分析是我们用来表征光纤耦合器的最简单的分析工具。建议使用它来“感受”系统的性能。
根据康宁数据表,波长为 1.31 μm 的光纤模场直径为 9.2 ± 0.4 μm,按如下方式设置分析。
光束腰部始终相对于曲面 1 定位,在本例中,曲面 1 与物体曲面位于同一位置。因此,4.6 μm 的高斯腰部半径位于源光纤位置。然后它通过光学系统传播。
由此可以看出,1/e2表面 3 的光束尺寸为 65.6 μm,表面 4 的光束尺寸为 70.0 μm。这些表面的机械半直径为 120 μm。这意味着超出大约两个光束宽度的能量将被截断。另请注意,光束在图像表面上不是最佳聚焦:它的尺寸为 5.6 μm,而假设对称性,它应该是 4.6 μm。我们将优化曲面 1 的厚度(它还通过拾取求解控制曲面 5 的厚度)以改善这种对称性。请注意,Surface 5 的厚度具有拾取求解,因为系统在任一方向使用时都应提供相同的耦合:我们使用相同的光纤和相同的透镜(在制造公差范围内),因此我们希望最佳系统是对称的。
OpticStudio有一个优化操作数GBPS,即高斯光束近轴尺寸,可用于优化光纤和耦合透镜之间的距离。因为我们知道系统在对称的情况下效果最好,所以我们知道表面 6 处所需的高斯光束尺寸为 4.6 μm,因此评价函数是一个简单的单行操作数。
点击优化选项卡-优化!来执行一个局部优化。
优化光纤/透镜距离可得到 0.117 mm 的光纤/透镜距离值,以及以下高斯光束数据。
这与简单的近轴高斯分析可以告诉我们的一样多。此时的文件保存为“after Gaussian optimization.zmx”。
使用单模光纤耦合计算
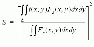
单模光纤耦合计算为具有高斯形状模式的光纤提供了更强大的功能。它执行两个计算:能量传输计算和模式匹配计算。系统效率是入射光瞳通过光学系统收集的能量之和,包括光学器件的暗角和透射(如果使用偏振),除以从源光纤辐射的所有能量的总和:S
其中 Fs(x,y) 是源光纤振幅函数,分子中的积分仅在光学系统的入射瞳孔上完成,t(x,y) 是光学器件的振幅传输函数。如果选中使用偏振,透射率会受到体吸收和光学涂层的影响。
光学系统中的像差会引入相位误差,从而影响光纤的耦合。当波前向接收光纤收敛的模式在波前所有点的振幅和相位上都与光纤的模式完全匹配时,可以实现最大的耦合效率。这在数学上定义为光纤和波前振幅之间的归一化重叠积分:T
其中Fr(x,y)是描述接收光纤复振幅的函数,W(x,y)是描述光系统出瞳波前复振幅的函数,'符号表示复共轭。请注意,这些函数是复值,因此这是一个相干重叠积分。T 的最大可能值为 1.0,如果光纤振幅和相位与波前振幅和相位之间有任何不匹配,则会减小。
OpticStudio将总功率耦合效率计算为S 和T 的乘积。还计算了理论上的最大耦合效率;该值基于忽略像差,但考虑了模式之间的所有暗角、透射和其他振幅不匹配。
在此计算中,源模式和接收器模式由其高斯数值孔径定义,高斯数值孔径定义为物体或图像空间表面的折射率n乘以半角到1/e的正弦2功率点。可以通过以下两种方式之一计算此角度:
- 根据高斯光束计算的发散角,使用模场直径来定义光束腰部(如上例所示)。
- 根据康宁数据表中给出的 1% 功率 NA 并计算 1/e2powerpoint从那。
接收器和源光纤的 NA 的适当值均为 0.09,因此计算设置如下。
这将产生以下结果。
我们可以使用 FICL 操作数通过以下单行评价函数来优化耦合效率。
经过 10 次优化循环,光纤/透镜厚度变为 0.107 mm(简单高斯计算后为 0.117 mm),光纤耦合结果如下。
请注意以下事项:
- 系统效率没有显著变化,因为这是由表面的孔径和模式的大小决定的,对于这种轻微的重新聚焦,它们没有太大变化
- 由于重新聚焦使得源光纤模式,通过光系统传输后,与接收器光纤模式的匹配性更好,因此接收器效率有所提高
- 总耦合效率是系统和接收器效率的乘积
此时的文件在附加的存档中保存为“after FICL optimization.zmx”。
使用物理光学计算
通过使用物理光学传播 (POP),可以显著扩展单模光纤耦合计算。耦合仍然通过重叠积分计算,但使用物理光学具有主要优势:
- 可以定义任何复杂模式;计算不限于高斯模式。
- 光纤耦合重叠积分可以在任何已知接收光纤模式的表面上计算。这包括但不限于代表纤维的表面。
- 外部程序,如光束传播和时域有限差分代码,可用于计算光纤(或任何集成光学器件)的模式结构,并可以将其表示为复杂的振幅分布,适合使用 .zbf 文件格式或 DLL 接口进行此计算。有关示例,请参阅本文。
- 可以精确地模拟由于光束在孔径上被截断或由于长距离传播而产生的衍射效应。
要设置 POP 计算,请转到分析功能区...物理光学,并使用以下设置。
在“光束定义”选项卡中,首先输入“X采样”和“Y采样”和“束腰X和束腰Y”。然后,单击“自动”按钮以计算数据点之间的初始宽度。
这建立了一个径向束腰 4.6 μm 的高斯模式,从表面 1 开始,并通过系统传播到图像表面,在那里我们以相同的模式计算其重叠积分。
“物理光学传播”窗口显示光纤耦合结果;请参阅以下屏幕截图中绘图下方突出显示的文本。POPD 优化操作数通过评价函数编辑器报告所有物理光学数据,通常是更有用的参考。有关详细信息,请参阅帮助文件中 POPD 操作数的说明。POPD 操作数使用 POP 分析窗口的已保存设置,因此,如果您尚未保存这些设置,请立即保存。“保存”按钮在下面的屏幕截图中以红色框框显示。
这是耦合光束在图像表面的相位的横截面。
相位是最有用的属性,因为辐照度分布几乎是完美的高斯分布(M2= 1.086)。接收器模式的相位在任何地方都正好为零,因此相位直接向我们展示了失配的程度。
注意相位剖面的形状,它显示了抛物线和四次项:相当于焦点和球面像差。还要注意镜头边缘相位分布的截断。从系统效率来看,我们知道,由于镜头的尺寸,损失的能量不到 1%。
POPD操作数可用于评价函数,以计算总光纤耦合效率、系统效率、接收器效率、理想波束腰尺寸、实际波束尺寸、得到的M2值,以及更多的诊断数量。以下是评价函数编辑器中这些 POPD 结果的屏幕截图。
将总光纤耦合效率操作数的目标和权重设置为 1(POPD 数据 = 0)。如果我们进行优化(请记住,光纤/透镜间距是唯一的变量),我们会得到一个小的改进。
此时的文件保存为“after POP.zmx”。光纤耦合略有改善,但大部分相位误差发生在能量很少的地方。
要创建如上所示的叠加图,请转到物理光学传播分析的工具栏,然后单击克隆按钮以创建窗口的第二个副本。在第二个窗口中,展开设置,然后转到“显示”选项卡。将“数据”设置更改为“辐照度”。然后,返回到第一个窗口,然后单击分析工具栏中的“活动叠加”按钮。这些步骤如下面的屏幕截图所示。
单击“活动叠加”按钮将打开“叠加系列”窗口。使用“可用系列”和“系列设置”选项卡中的以下设置,然后单击“确定”。
尝试将镜头间距更改为 20mm。现在,POP计算预测的耦合效率为0.57。这是因为高斯模式衍射并改变两个透镜之间光学空间的大小。在 20 mm 传播后,高斯模式的尺寸增加到 0.14 mm 1/e2宽度,现在可与 0.12 mm 镜头尺寸相媲美。结果,大量能量在第二个透镜的光圈处发生衍射。我们可以在第二个镜头光圈前后的辐照度叠加中看到这一点。聚焦到接收光纤上的光束明显是非高斯的,并且具有 M2> 2。
POP 还允许对耦合器进行严格优化。将光纤/透镜距离设置为固定(正如我们已经优化的那样)并使 20 mm 透镜间间隔可变,几个优化周期可产生 2.15 mm 的最佳透镜间隔。此文件保存为“after interlens optimization.zmx”。使用通用图,我们可以看到光纤耦合效率对透镜-透镜分离变化的敏感性。导航到 Analyze...通用绘图...1-D...新建并定义以下设置。
同样,当源光纤模式传播到接收器光纤时,改变透镜-透镜距离会改变 M2光束质量参数。
考虑表面透射率和体积吸收
前面的计算都忽略了光学材料中表面反射和体积吸收的影响,而OpticStudio可以准确地模拟这两种影响。在 POP 和单模光纤计算中,分析设置中的开关使用偏振会打开偏振计算,因此可以考虑由于菲涅耳反射和体积吸收引起的损耗。
重新打开“after POP.zmx”示例文件,在光纤耦合分析和物理光学传播的设置中...常规,检查使用极化。保存设置。然后转到系统资源管理器...极化,并将入射极化定义为在 Y 方向上呈线性。
因此,POPD和FICL的光纤耦合计算下降到86%左右。如果您正在查看评价函数编辑器,请注意 FICL 操作数还需要将 “Pol?” 标志设置为 1。您会注意到,变化在于系统效率(能量传输),而不是模式耦合:极化效应作为角度的函数太慢,无法改变振型,尽管更极端的系统可能会因此而显示变化。
在镜头数据编辑器的工具栏中,单击“将镀膜添加到所有曲面”按钮,然后将 AR 镀膜(单层 MgF2)添加到所有玻璃曲面。
采用这种涂层后,POPD耦合效率提高到约93%。同样,添加 HEAR1 涂层可进一步将效率提高到 99%。
